La Paz, 22 de junio de 2023 (ABI). - Este jueves inició el pago de liquidaciones, menores o iguales a Bs 21.000, a extrabajadores del intervenido Banco Fassil, en el marco del convenio firmado con sus representantes.
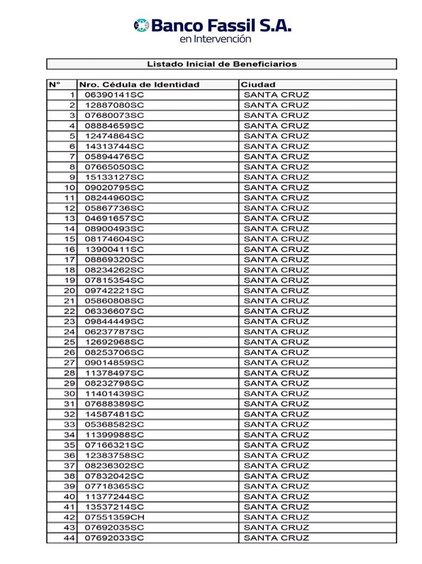
“A partir del día jueves 22 de junio de la presente gestión, se dará inicio con el proceso del pago de las liquidaciones cuya cuantía sea menor o igual a Bs 21.000; en este sentido, se iniciará dicho proceso con las personas cuyo detalle se adjunta al presente”, indica un comunicado.
Según esa misiva, publicada en las redes sociales del exbanco, se procederá al inicio de pago de liquidaciones en conformidad al cumplimiento del convenio suscrito con los representantes de los extrabajadores.
En ese sentido, se publicó la lista con el número de cédula de identidad de los beneficiarios que alcanzan a 75. Las personas convocadas deberán presentar como requisito tres fotocopias de cédula de identidad, en agencias de Santa Cruz y La Paz, de 12h00 hasta 18h00.
En Santa Cruz, en la agencia El Cristo, ubicada en la avenida Cristo Redentor, entre calles Julio A. Gutiérrez y Cap. Rodríguez, entre Segundo y Tercer Anillo, primer piso. En la ciudad de La Paz, en la agencia Torres del Poeta, Torre “B”, planta baja, avenida Arce N° 2519, plaza Isabel La Católica.
“En las demás sucursales se coordinará con personal de Recursos Humanos para realizar el pago en los siguientes días, aspecto que será comunicado oportunamente”, señala el comunicado oficial.
En contacto con radio Éxito, la representante de los trabajadores del extinto Fassil, Brisney Conde, indicó este jueves que para el pago de beneficios se citó a otro grupo de funcionarios a partir del 26 de junio.
“Vamos a esperar a que nos digan cuáles van a ser las condiciones, porque cada uno va a firmar un acuerdo individual con el Interventor para que se proceda a este pago”, explicó la extrabajadora.
Señaló que se negoció que las cancelaciones correspondientes a los exfuncionarios de la extinta entidad financiera se realizará hasta octubre del presente año y precisó que hay gente que trabajó en este exbanco hasta 10 y 14 años.
Los exfuncionarios esperan que se venda los inmuebles de la exfinanciera “lo más pronto posible” para que se puedan liberar lo más rápido; asimismo, aguardan recibir el 26 de junio la carta de desvinculación, pero con fecha de 31 de mayo.
En tanto, el extrabajador de Fassil Juan Carlos Alarcón añadió que la carta de desvinculación es una puerta para buscar trabajo y si hay la oportunidad de ingresar a otra empresa “no se la va a desperdiciar”.
“La capacidad que teníamos para hacer crecer el Banco Fassil demuestra que cumplíamos nuestras metas y cualquier entidad financiera estaría contratando a alguien con capacidad”, manifestó.
El 26 de abril de este año, la Autoridad de Supervisión del Sistema Financiero (ASFI) intervino el Banco Fassil por “manejos irregulares y malas prácticas” de sus ejecutivos y directivos. Ante ello y tras un proceso de solución, al menos nueve entidades se adjudicaron la cartera y ahorros de esa ahora extinta financiera.
MC/Afbs




